更新时间:01-19 信息来源:湘工e家
近期
湖南多家事业单位
国企发布招聘信息
在找工作的小伙伴
快来看看有没有心仪岗位

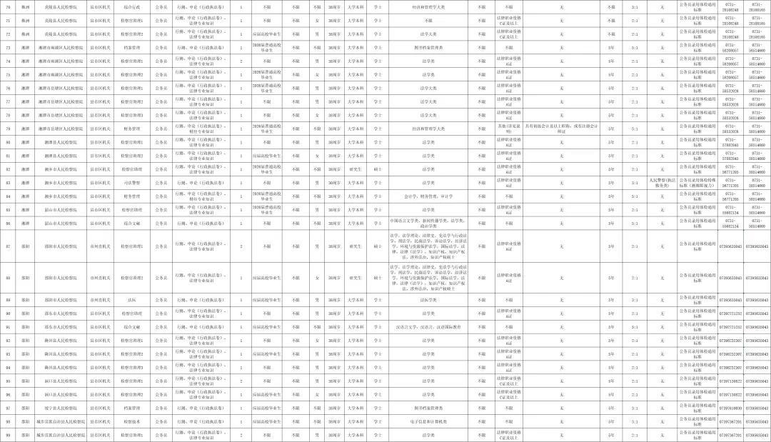
全省检察机关招录333个岗位
招聘岗位












报名时间
2026年1月29日9:00至2月4日17:00。
报名方式
报考人员登录湖南人事考试网(http://www.hunanpea.com),进行网上报名。
永州市市直企事业单位2026年引进急需紧缺专业人才公告
招聘岗位








报名时间
2026年1月13日至1月21日。
报名方式
登录永州人事考试网(https://www.8329607.com/portal.php)进行报名。
湖南省烟草专卖局系统2026年公开考试聘用工作人员公告
招聘岗位






报名时间
2026年1月30日9:00至2月5日17:00
报名方式
报考人员登录湖南人事考试网,进行网上报名。
2026年邵阳县不动产登记中心和邵阳县土地房屋征收服务中心公开选调工作人员公告
招聘岗位

报名时间
:2026年1月16日至27日(工作日上午8:00-12:00,下午14:30-17:30)。
报名方式
报名地点:邵阳县自然资源局政工股(自然资源局办公楼四楼407室)。
2026年湖南湘江新区招聘特勤人员公告
招聘岗位

报名时间
2026年1月17日9:00至1月24日17:00。
报名方式
报名网站为长沙人才网(http://zk.cshr.cn/)
东安县2026年引进急需紧缺专业人才公告
招聘岗位

报名时间
2026年2月2日08:00至2026年2月8日17:30。
报名方式
报名网址:https://www.dcpta.com.cn。
2026年岳阳市教育体育局直属学校公开选调教师公告
招聘岗位

报名时间
2026年1月13日、14日、15日、19日、20日,上午9:00-12:00,下午2:00-5:00
报名方式
报名地点和电话见岗位表
长沙工业学院公开招聘编外合同制教师简章
招聘岗位

报名时间
2026年1月14日(周三)9:00—2026年1月18日(周日)22:00。
报名方式
报名网址:湖南人事考试公共服务平台https://bm.hncs12333.com/。
长沙市雨花区明德洞井中学2026年春季合同制教师招聘公告
招聘岗位
初中:语文教师若干名、数学教师若干名、英语教师若干、物理教师若干名、历史教师若干名。
报名时间
2026年1月13日至2026年1月25日。
报名方式
扫描二维码进行报名(同时填写两个)


湖南师大附中雨花学校2026年春季合同制教师招聘公告
招聘岗位
报名时间
即日起至2026年1月20日18:00止。
报名方式
将文件名修改为“学科+骨干(或应届、往届)+姓名”。将您填写好的报名表发送到邮箱:[email protected]
麓山国际望城实验学校2026年春季教师招聘公告
招聘岗位
小学体育学科若干人;
初中数学、英语、体育、物理、地理、信息科技学科若干人。
报名时间
截止时间:2026年1月21日(周三)下午5点。
报名方式
扫描二维码进行报名

长沙市南雅梅溪湖中学2026年春季教师招聘公告
招聘岗位

报名时间
报名截止时间:2026年1月24日。
报名方式
扫描二维码进行报名

长沙市雨花区石燕湖中学2026年春季合同制教师招聘公告
招聘岗位
初中物理、初中化学、初中英语、初中体育各若干名。
报名时间
自本公告发布起至2026年1月23日18:00止。
报名方式
扫描二维码进行报名

长沙市雨花区雅境中学2026年春季合同制教师招聘公告
招聘岗位
语文、数学、英语、地理、历史、道法科目教师各若干名。
报名时间
2026年1月12日至2026年1月27日(20:00)
报名方式
扫描二维码进行报名(同时填写两个)

长沙市雨花区中雅培粹双语中学2026年合同制教师招聘公告
招聘岗位
语文、数学、英语、物理、化学、生物、历史、政治、地理等教师
报名时间
发布之日起至2026年1月27日17:00
报名方式
扫描二维码进行报名

长沙市明德雨花实验中学2026年春季合同制教师招聘
招聘岗位
中学数学(一名)
中学政治(一名)
中学英语(一名)
中学地理(一名)
中学物理(一名)
报名时间
2026年1月20日至2026年1月31日
报名方式
简历以“学段学科+姓名+电话”发送邮件至[email protected]。
长沙市雨花区雅塘村小学2026年春季合同制教师招聘公告
招聘岗位
语文、数学、科学、体育教师各若干名。
报名时间
2026年 1 月 15 日至2026年 1 月 19 日。
报名方式
简历投送要求:个人简历命名方式为“应届或在职+学科+姓名”,相关学科简历发送至相关邮箱。
学科 负责人 邮箱
语文 彭老师 [email protected]
数学 秦老师 [email protected]
体育 谢老师 [email protected]
科学 贺老师 [email protected]
长沙市雨花区长沙实验雨花中学2026年春季合同制教师招聘公告
招聘岗位
语文若干名、数学若干名、生物若干名、心理若干名。
报名时间
自2026年1月15日起至2026年1月25日12:00
报名方式
扫描二维码进行报名。

湖南时空信息数据有限公司人员招聘公告
招聘岗位



报名时间
2026年1月12日-2026年1月31日。
报名方式
应聘者将报名要求的资料扫描后按以下顺序以压缩文件包的形式发至邮箱:[email protected]
湖南金阳投资集团有限公司2026年公开招聘工作人员简章
招聘岗位



报名时间
2026年1月15日9:00-2026年1月24日17:00。
报名方式
报考人员直接登录湖南人力资源考试报名系统(http://bm.hnrcsc.com/)进行报名
湖南省交通科学研究院有限公司公开招聘中层管理人员公告
招聘岗位
双碳与环保技术研究院副院长(1名)
双碳与环保技术研究院环保专业副总工程师(1名)
双碳与环保技术研究院水保专业副总工程师(1名)
市政设计研究院道路专业副总工程师(1名)
市政设计研究院建筑专业副总工程师(1名)
报名时间
2026年1月14日-2026年1月21日17:00。
报名方式
将应聘人员登记表(可附个人简历)及相关材料扫描件以压缩包形式发送至[email protected]。邮件及压缩包的标题格式为“应聘岗位+应聘者姓名”,压缩包内相关文件名称请按照文件内容分类(如“学历-应聘者姓名”)。